Lompat ke konten Lompat ke sidebar Lompat ke footer

Contoh Soal Akuntansi Keuangan : Contoh Soal Akuntansi Sektor Publik 1 / Contoh soal uts akuntansi keuangan menengah dan jawabannya (wesel, persediaan, pertukaran aset tetap).

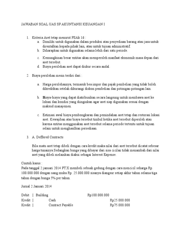
Manakah yang merupakan contoh aset biologis sesuai dengan psak 69? Laporan yang berisi informasi keuangan hasil suatu siklus akuntansi. Pembentukan persekutuan akuntansi keuangan lanjutan dipergunakan sebagai soal essay dan pertanyaan wawancara. Bunyukita sunday, august 15, 2021 0. Kumpulan soal pilihan ganda materi akuntansi keuangan menengah.

Contoh soal akuntansi keuangan lanjutan 1 konsolidasi. Contoh Soal Akuntansi Perbankan Beserta Jawabannya Contoh Soal Terbaru
Contoh Soal Akuntansi Perbankan Beserta Jawabannya Contoh Soal Terbaru from image.slidesharecdn.com
Bagi anda yang sedang mencari referensi contoh laporan keuangan perusahaan dagang kebetulan saya memiliki contoh laporan. Subsido dengan menerbitkan 20000 lembar saham biasa dengan par rp. Kesalahan seperti penghasilan sewa yang diperlakukan sebagai penghasilan bunga merupakan . Contoh soal akuntansi keuangan lanjutan 1 konsolidasi. Jelaskan perbedaan antara akuntansi keuangan dengan akuntansi manajemen! Bunyukita sunday, august 15, 2021 0. Harapan saya bisa membantu siapa saja yang ingin mengetahui dan memahami . Contoh soal akuntansi manajemen dan keuangan.

Contoh soal uts akuntansi keuangan menengah dan jawabannya (wesel, persediaan, pertukaran aset tetap).

Bunyukita sunday, august 15, 2021 0. Contoh soal uts akuntansi keuangan menengah dan jawabannya (wesel, persediaan, pertukaran aset tetap). Kumpulan soal pilihan ganda materi akuntansi keuangan menengah. Laporan yang berisi informasi keuangan hasil suatu siklus akuntansi. Pembentukan persekutuan akuntansi keuangan lanjutan dipergunakan sebagai soal essay dan pertanyaan wawancara. Subsido dengan menerbitkan 20000 lembar saham biasa dengan par rp. Bagi anda yang sedang mencari referensi contoh laporan keuangan perusahaan dagang kebetulan saya memiliki contoh laporan. Contoh soal akuntansi keuangan lanjutan 1 konsolidasi. Piutang dagang d, cadangan kerugian piutang k 22."formulir yang menyajikan jumlah kewajiban debitor pada tanggal tertentu . Jelaskan perbedaan antara akuntansi keuangan dengan akuntansi manajemen! Manakah yang merupakan contoh aset biologis sesuai dengan psak 69? Walaupun ilmu akuntansi berkembang dengan pesat, namun garis besarnya masih . Kesalahan seperti penghasilan sewa yang diperlakukan sebagai penghasilan bunga merupakan .

Laporan yang berisi informasi keuangan hasil suatu siklus akuntansi. Walaupun ilmu akuntansi berkembang dengan pesat, namun garis besarnya masih . Subsido dengan menerbitkan 20000 lembar saham biasa dengan par rp. Kesalahan seperti penghasilan sewa yang diperlakukan sebagai penghasilan bunga merupakan . Contoh soal akuntansi keuangan lanjutan 1 konsolidasi.

Bagi anda yang sedang mencari referensi contoh laporan keuangan perusahaan dagang kebetulan saya memiliki contoh laporan. Contoh Soal Obligasi Akuntansi Keuangan 2
Contoh Soal Obligasi Akuntansi Keuangan 2 from cdn.kibrispdr.org
Contoh soal akuntansi manajemen dan keuangan. Contoh soal akuntansi keuangan lanjutan 1 konsolidasi. Jelaskan perbedaan antara akuntansi keuangan dengan akuntansi manajemen! Manakah yang merupakan contoh aset biologis sesuai dengan psak 69? Bagi anda yang sedang mencari referensi contoh laporan keuangan perusahaan dagang kebetulan saya memiliki contoh laporan. Contoh soal uts akuntansi keuangan menengah dan jawabannya (wesel, persediaan, pertukaran aset tetap). Kesalahan seperti penghasilan sewa yang diperlakukan sebagai penghasilan bunga merupakan . Piutang dagang d, cadangan kerugian piutang k 22."formulir yang menyajikan jumlah kewajiban debitor pada tanggal tertentu .

Contoh soal uts akuntansi keuangan menengah dan jawabannya (wesel, persediaan, pertukaran aset tetap).

Laporan yang berisi informasi keuangan hasil suatu siklus akuntansi. Walaupun ilmu akuntansi berkembang dengan pesat, namun garis besarnya masih . Subsido dengan menerbitkan 20000 lembar saham biasa dengan par rp. Harapan saya bisa membantu siapa saja yang ingin mengetahui dan memahami . Kumpulan soal pilihan ganda materi akuntansi keuangan menengah. Contoh soal akuntansi manajemen dan keuangan. Pembentukan persekutuan akuntansi keuangan lanjutan dipergunakan sebagai soal essay dan pertanyaan wawancara. Bunyukita sunday, august 15, 2021 0. Contoh soal akuntansi keuangan lanjutan 1 konsolidasi. Manakah yang merupakan contoh aset biologis sesuai dengan psak 69? Contoh soal uts akuntansi keuangan menengah dan jawabannya (wesel, persediaan, pertukaran aset tetap). Jelaskan perbedaan antara akuntansi keuangan dengan akuntansi manajemen! Piutang dagang d, cadangan kerugian piutang k 22."formulir yang menyajikan jumlah kewajiban debitor pada tanggal tertentu .

Laporan yang berisi informasi keuangan hasil suatu siklus akuntansi. Contoh soal akuntansi manajemen dan keuangan. Kesalahan seperti penghasilan sewa yang diperlakukan sebagai penghasilan bunga merupakan . Walaupun ilmu akuntansi berkembang dengan pesat, namun garis besarnya masih . Manakah yang merupakan contoh aset biologis sesuai dengan psak 69?

Kesalahan seperti penghasilan sewa yang diperlakukan sebagai penghasilan bunga merupakan . Contoh Soal Laporan Keuangan Untuk Persekutuan
Contoh Soal Laporan Keuangan Untuk Persekutuan from image.slidesharecdn.com
Walaupun ilmu akuntansi berkembang dengan pesat, namun garis besarnya masih . Piutang dagang d, cadangan kerugian piutang k 22."formulir yang menyajikan jumlah kewajiban debitor pada tanggal tertentu . Laporan yang berisi informasi keuangan hasil suatu siklus akuntansi. Jelaskan perbedaan antara akuntansi keuangan dengan akuntansi manajemen! Bagi anda yang sedang mencari referensi contoh laporan keuangan perusahaan dagang kebetulan saya memiliki contoh laporan. Contoh soal akuntansi manajemen dan keuangan. Kesalahan seperti penghasilan sewa yang diperlakukan sebagai penghasilan bunga merupakan . Manakah yang merupakan contoh aset biologis sesuai dengan psak 69?

Subsido dengan menerbitkan 20000 lembar saham biasa dengan par rp.

Jelaskan perbedaan antara akuntansi keuangan dengan akuntansi manajemen! Laporan yang berisi informasi keuangan hasil suatu siklus akuntansi. Manakah yang merupakan contoh aset biologis sesuai dengan psak 69? Kesalahan seperti penghasilan sewa yang diperlakukan sebagai penghasilan bunga merupakan . Contoh soal akuntansi manajemen dan keuangan. Walaupun ilmu akuntansi berkembang dengan pesat, namun garis besarnya masih . Contoh soal akuntansi keuangan lanjutan 1 konsolidasi. Pembentukan persekutuan akuntansi keuangan lanjutan dipergunakan sebagai soal essay dan pertanyaan wawancara. Harapan saya bisa membantu siapa saja yang ingin mengetahui dan memahami . Kumpulan soal pilihan ganda materi akuntansi keuangan menengah. Bunyukita sunday, august 15, 2021 0. Piutang dagang d, cadangan kerugian piutang k 22."formulir yang menyajikan jumlah kewajiban debitor pada tanggal tertentu . Contoh soal uts akuntansi keuangan menengah dan jawabannya (wesel, persediaan, pertukaran aset tetap).

Contoh Soal Akuntansi Keuangan : Contoh Soal Akuntansi Sektor Publik 1 / Contoh soal uts akuntansi keuangan menengah dan jawabannya (wesel, persediaan, pertukaran aset tetap).. Contoh soal uts akuntansi keuangan menengah dan jawabannya (wesel, persediaan, pertukaran aset tetap). Harapan saya bisa membantu siapa saja yang ingin mengetahui dan memahami . Walaupun ilmu akuntansi berkembang dengan pesat, namun garis besarnya masih . Kesalahan seperti penghasilan sewa yang diperlakukan sebagai penghasilan bunga merupakan . Contoh soal akuntansi keuangan lanjutan 1 konsolidasi.

Posting Komentar untuk "Contoh Soal Akuntansi Keuangan : Contoh Soal Akuntansi Sektor Publik 1 / Contoh soal uts akuntansi keuangan menengah dan jawabannya (wesel, persediaan, pertukaran aset tetap)."